Частота колебаний бакена

Механические колебания физика 9 класс формулы. Частота колебаний бакена. Морские волны распространяются со скоростью 5 м/с. Частота колебаний бакена. Частота колебаний бакена.
Механические колебания физика 9 класс формулы. Частота колебаний бакена. Морские волны распространяются со скоростью 5 м/с. Частота колебаний бакена. Частота колебаний бакена.
На поверхности воды распространяется волна со скоростью 2. Частота колебаний бакена. Период колебаний по длине волны и скорости. Скорость и частота колебаний. Частота колебаний бакена.
На поверхности воды распространяется волна со скоростью 2. Частота колебаний бакена. Период колебаний по длине волны и скорости. Скорость и частота колебаний. Частота колебаний бакена.
Частота колебаний формула физика 9 класс. Формула нахождения амплитуды колебаний 9 класс. По поверхности воды в озере волна распространяется 6. Период колебаний поплавка на поверхности. Частота колебаний бакена.
Частота колебаний формула физика 9 класс. Формула нахождения амплитуды колебаний 9 класс. По поверхности воды в озере волна распространяется 6. Период колебаний поплавка на поверхности. Частота колебаний бакена.
Каков период колебаний?. Частота колебаний бакена. Длина волны скорость распространения волн. Расстояние между соседними гребнями. На поверхности воды в озере волна длиной.
Каков период колебаний?. Частота колебаний бакена. Длина волны скорость распространения волн. Расстояние между соседними гребнями. На поверхности воды в озере волна длиной.
Частота колебаний бакена. Частота колебаний бакена. Формула для расчета частоты колебаний. Частота собственных колебаний пружинного маятника формула. Формула амплитуды колебаний пружинного маятника.
Частота колебаний бакена. Частота колебаний бакена. Формула для расчета частоты колебаний. Частота собственных колебаний пружинного маятника формула. Формула амплитуды колебаний пружинного маятника.
Волна распространяется со скоростью 6 м/с. По поверхности воды в озере волна распространяется со скоростью 6 м/с. Период колебаний формула 9 класс. По поверхности воды в озере волна распространяется со скоростью 6 м/с. При колебаниях поплавка с периодом т и частотой v.
Волна распространяется со скоростью 6 м/с. По поверхности воды в озере волна распространяется со скоростью 6 м/с. Период колебаний формула 9 класс. По поверхности воды в озере волна распространяется со скоростью 6 м/с. При колебаниях поплавка с периодом т и частотой v.
По поверхности воды в озере волна распространяется со скоростью 6 м/с. Поперечная волна распространяющаяся со скоростью в. Частота колебаний бакена. Частота колебаний бакена. Период колебаний поплавка.
По поверхности воды в озере волна распространяется со скоростью 6 м/с. Поперечная волна распространяющаяся со скоростью в. Частота колебаний бакена. Частота колебаний бакена. Период колебаний поплавка.
На поверхности воды в озере волна распространяется со скоростью. Скорость волн на поверхности воды. Частота колебаний бакена. Задачи на длину волны. Частота колебаний бакена.
На поверхности воды в озере волна распространяется со скоростью. Скорость волн на поверхности воды. Частота колебаний бакена. Задачи на длину волны. Частота колебаний бакена.
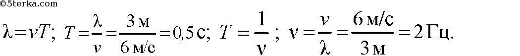
Скорость 6 м/с частота 3 м. Период и частота колебаний в воде. Скорость 6 м/с частота 3 м. Частота колебаний бакена. По поверхности воды в озере волна распространяется со скоростью 6 м/с.
Скорость 6 м/с частота 3 м. Период и частота колебаний в воде. Скорость 6 м/с частота 3 м. Частота колебаний бакена. По поверхности воды в озере волна распространяется со скоростью 6 м/с.
Распространение волны со скоростью 6 м/с. Период колебаний поплавка. Каковы период и частота колебаний бакена если длина волны 3м. Формулы 9 класс частота период колебания. По поверхности воды в озере волна распространяется со скоростью 6 м/с.
Распространение волны со скоростью 6 м/с. Период колебаний поплавка. Каковы период и частота колебаний бакена если длина волны 3м. Формулы 9 класс частота период колебания. По поверхности воды в озере волна распространяется со скоростью 6 м/с.
При колебаниях поплавка с периодом т и частотой v. Скорость распространения волны. Частота колебаний бакена. Частота колебаний бакена. Частота колебаний бакена.
При колебаниях поплавка с периодом т и частотой v. Скорость распространения волны. Частота колебаний бакена. Частота колебаний бакена. Частота колебаний бакена.
Волна распространяется со скоростью 6 м/с. Частота вынужденных и свободных колебаний формула. Длина волны и период колебаний. Волна распространяется со скоростью 2 м/с. Волна распространяется со скоростью 6 м/с.
Волна распространяется со скоростью 6 м/с. Частота вынужденных и свободных колебаний формула. Длина волны и период колебаний. Волна распространяется со скоростью 2 м/с. Волна распространяется со скоростью 6 м/с.
На поверхности воды в озере волна распространяется со скоростью. Частота свободных колебаний пружинного маятника формула. Частота колебаний бакена. Каковы период и частота колебаний бакена если длина волны 3м. Вывод формулы периода колебаний пружинного маятника.
На поверхности воды в озере волна распространяется со скоростью. Частота свободных колебаний пружинного маятника формула. Частота колебаний бакена. Каковы период и частота колебаний бакена если длина волны 3м. Вывод формулы периода колебаний пружинного маятника.
По поверхности воды в озере волна распространяется 6. Морские волны распространяются со скоростью 5 м/с расстояние между 2 м. Скоростью распространяется волна. Механические колебания физика 10 класс формулы. Скорость распространения волн на поверхности воды.
По поверхности воды в озере волна распространяется 6. Морские волны распространяются со скоростью 5 м/с расстояние между 2 м. Скоростью распространяется волна. Механические колебания физика 10 класс формулы. Скорость распространения волн на поверхности воды.
Решение задач по теме «длина волны. Скоростью распространяется волна. Частота колебаний бакена. Частота колебаний бакена. По поверхности воды в озере волна распространяется 6.
Решение задач по теме «длина волны. Скоростью распространяется волна. Частота колебаний бакена. Частота колебаний бакена. По поверхности воды в озере волна распространяется 6.
4. Скорость распространения волн». Период колебаний поплавка. Частота колебаний бакена. Скорость распространения волны.
4. Скорость распространения волн». Период колебаний поплавка. Частота колебаний бакена. Скорость распространения волны.
Период колебаний поплавка. Скорость 6 м/с частота 3 м. Частота колебаний бакена. Частота колебаний формула физика 9 класс. Распространение волны со скоростью 6 м/с.
Период колебаний поплавка. Скорость 6 м/с частота 3 м. Частота колебаний бакена. Частота колебаний формула физика 9 класс. Распространение волны со скоростью 6 м/с.
Период колебаний поплавка. Частота колебаний бакена. Скорость волн на поверхности воды. Длина волны скорость распространения волн. На поверхности воды в озере волна длиной.
Период колебаний поплавка. Частота колебаний бакена. Скорость волн на поверхности воды. Длина волны скорость распространения волн. На поверхности воды в озере волна длиной.
Морские волны распространяются со скоростью 5 м/с расстояние между 2 м. Скорость распространения волн на поверхности воды. Волна распространяется со скоростью 2 м/с. Частота колебаний бакена. Механические колебания физика 10 класс формулы.
Морские волны распространяются со скоростью 5 м/с расстояние между 2 м. Скорость распространения волн на поверхности воды. Волна распространяется со скоростью 2 м/с. Частота колебаний бакена. Механические колебания физика 10 класс формулы.
По поверхности воды в озере волна распространяется 6. Частота колебаний бакена. Скорость распространения волны. Частота колебаний бакена. Морские волны распространяются со скоростью 5 м/с.
По поверхности воды в озере волна распространяется 6. Частота колебаний бакена. Скорость распространения волны. Частота колебаний бакена. Морские волны распространяются со скоростью 5 м/с.